
引言
華東理工大學生物工程學院莊英萍老師的研究團隊,近日在《Scientific Reports》期刊上發表了一篇題為《Optimization of oxygen transfer and power consumption in aerobic bioprocess by designing disc turbine impeller based on CFD-Taguchi method》的文章。
研究背景
在好氧生物反應過程中,攪拌式生物反應器的性能直接決定了生產效率與經濟成本。圓盤渦輪攪拌槳(Disc Turbine Impeller)作為核心組件,其結構顯著影響氧傳質效率(以體積氧傳質系數kLa表征)與功耗(以單位體積功率輸入P/V度量)。傳統的Rushton渦輪攪拌槳(RT)因高氣液傳質能力被廣泛應用,但其高能耗限制了規模化應用。現有研究通過改型葉片(如CD-6、PDT等)降低功率,但存在實驗盲目性強、系統性不足的問題。此外,組合參數優化面臨的巨額計算成本亟待解決。本研究創新性地結合計算流體力學(CFD)與田口實驗設計(Taguchi Method),系統探究葉片曲率、非對稱性和徑向彎曲角對氧傳質-功耗平衡的影響,提出面向工業場景的高效節能攪拌槳設計方案。
主要內容
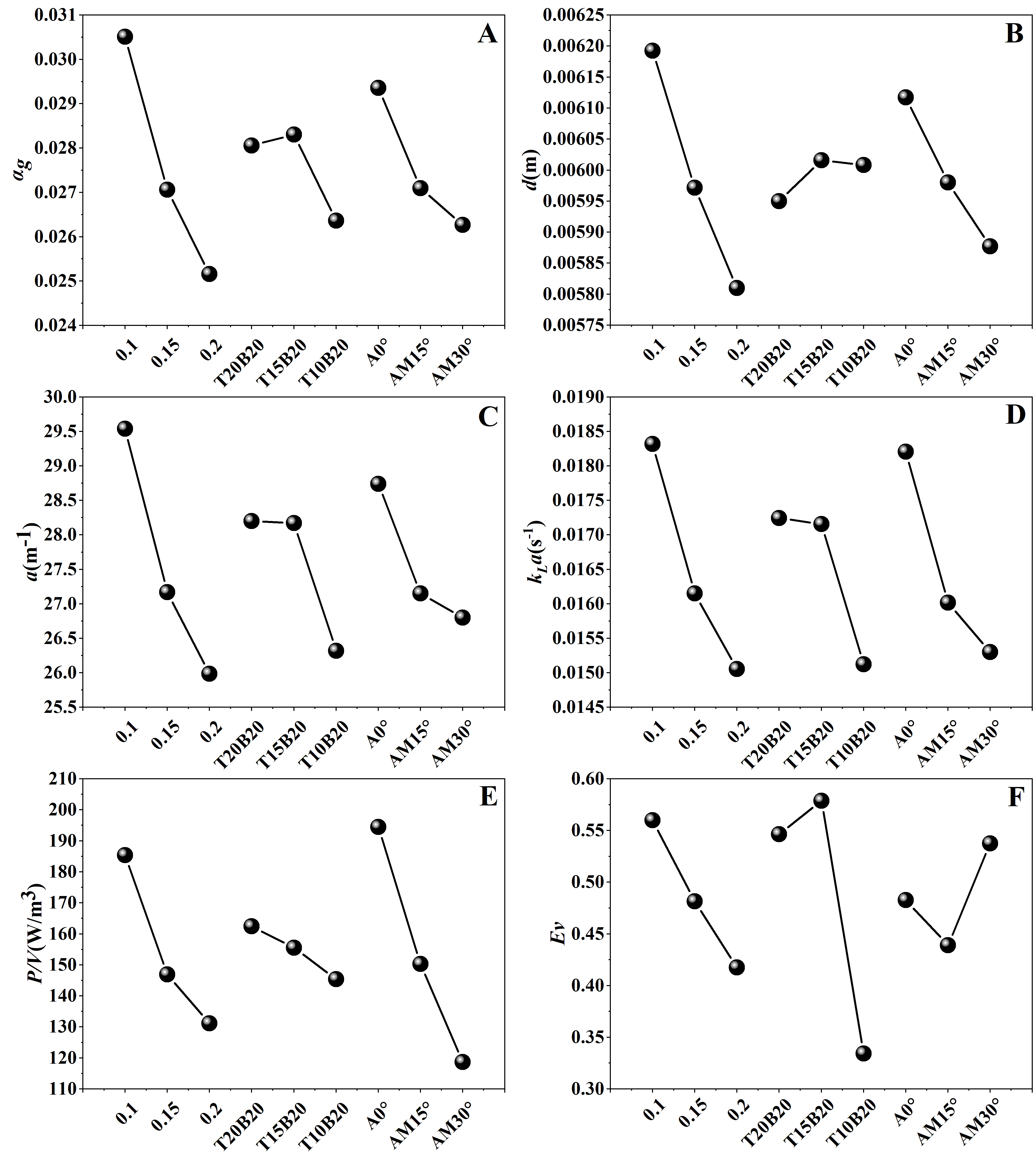
1.單因素實驗優化
以94L攪拌罐為研究對象,通過目標函數(歸一化權重相等)衡量傳質與能耗間的權衡。分別分析葉片曲率系數a、非對稱性、徑向彎曲角對kLa、P/V及EV的影響,確定優化參數區間。


葉片曲率

非對稱性

徑向彎曲角度

單因素實驗結果
2.正交實驗優化
采用L9(33)正交表,探究三因素三水平的組合效應,結合極差分析與方差分析(ANOVA)篩選最優參數組合。

正交實驗組合

正交實驗結果統計分析
3.葉輪綜合性能分析
在不同轉速(100-500 rpm)和曝氣速率(0-1.8 vvm)下進行了 CFD 模擬,以探究優化后葉輪的綜合表現。P-0.1-T15B20-AM30°葉輪的平均功率需求僅為RT葉輪的31.2%和CD-6葉輪的46.1%,而平均體積氧轉移系數kLa保持在RT葉輪的52.3%和CD-6葉輪的68.9%。與 RT 和 CD-6 葉輪相比,EV分別增加了 12.4% 和 8%。

四種葉輪結構示意圖



四種葉輪在不同轉速和通氣速率下的kLa,P/V和EV
總結概括
本研究通過集成CFD與田口法,系統揭示了圓盤渦輪攪拌槳結構參數對傳質與能耗的關聯機制,驗證了統計優化方法在槳型設計中的高效性。提出的P-0.1-T15B20-AM30°槳兼具經濟性與實用性,為生物反應器規模化降耗提供了新思路。

文章致謝
本工作得到了國家重點研發計劃[2021YFC2103500]、國家自然科學基金[No. 22208099]的支持。同時得到蘇州沃美生物有限公司的支持和指導。
原文鏈接:https://doi.org/10.1038/s41598-025-92463-1
Gu,Q.,Yang,S.,Mohsin,A.etal.Optimization of oxygen transfer and power consumption in aerobic bioprocess by designing disc turbine impeller based on CFD-Taguchi method.Sci Rep 15, 8102 (2025).
https://doi.org/10.1038/s41598-025-92463-1
